Bought with Alease Madewell
$35,000
$35,000
For more information regarding the value of a property, please contact us for a free consultation.
4.41 Acres Lot
SOLD DATE : 09/29/2025
Key Details
Sold Price $35,000
Property Type Vacant Land
Listing Status Sold
Purchase Type For Sale
Subdivision Lake View Shores
MLS Listing ID 2976513
Sold Date 09/29/25
HOA Y/N No
Annual Tax Amount $166
Lot Size 4.410 Acres
Acres 4.41
Property Description
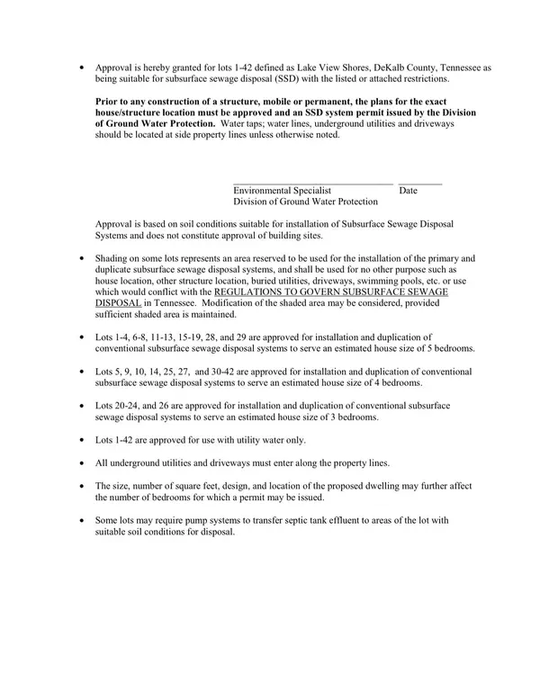
4.41 Acres with Utilities & 4-Bedroom Build Site Approval – Near the Lake
Welcome to Lot 37 in Lake View Shores, offering the rare combination of acreage, privacy, and convenience. This 4.41-acre property is already cleared at the front, making it easy to envision your future build. Utilities are ready to go with a water tap in place, and the property comes with a 4-bedroom subsurface sewage disposal (SSD) approval from the Division of Ground Water Protection, pending soil site testing. See documents in gallery for full details.
Located just minutes from the lake, this property provides the ideal backdrop for your private custom home, retreat, or investment build. With mature trees for natural beauty and privacy, yet cleared space for construction, you truly get the best of both worlds.
? Property Highlights:
4.41 acres (Lot 37 – Lake View Shores)
Partially cleared front acreage
Water tap installed
Soil site approved for 4-bedroom home (SSD permit)
Close proximity to Center Hill Lake
Room for your dream custom build or recreational escape
Motivated seller!
Whether you've been dreaming of a private estate, vacation home near the lake, or a long-term investment, this tract offers endless potential. Don't miss out—opportunities like this don't come around often!
Best way to find this is to use the neighbors address. 702 Lanis Rd. Baxter, TN, the land is connected right past and goes to the gate.
Location
State TN
County Dekalb County
Zoning Residentia
Interior
Fireplace N
Exterior
View Y/N false
Private Pool false
Building
Lot Description Rolling Slope
Schools
Elementary Schools Northside Elementary
Middle Schools Dekalb Middle School
High Schools De Kalb County High School
Others
Senior Community false
Special Listing Condition Standard
Read Less Info
Want to know what your home might be worth? Contact us for a FREE valuation!

Our team is ready to help you sell your home for the highest possible price ASAP

© 2025 Listings courtesy of RealTrac as distributed by MLS GRID. All Rights Reserved.

Find out why customers are choosing LPT Realty to meet their real estate needs






